Az elmúlt fél évszázadban nőtt a napi hőingás Magyarországon, főként áprilisban és nyáron a melegebb nappalok miatt. A klímamodellek szerint a következő évtizedekben már nem várható további jelentős változás, mert a maximum- és minimum hőmérsékletek hasonló ütemben emelkednek. Ennek azonban nem érdemes örülni: a forró nappalok mellett egyre gyakoribbak a trópusi jellegű éjszakák, amelyek jócskán megnehezítik a pihentető alvást.
Mi a napi hőingás és miért fontos?
A napi hőingás azt mutatja, mekkora a különbség a nappali maximum- és az éjszakai minimum hőmérséklet között. Míg a két napi szélsőséget gyakrabban szokták vizsgálni, addig az ezekből számítható hőingást ritkán, holott ez a mutató is meghatározó lehet például az ökológia, a mezőgazdaság és az emberi egészség szempontjából. Elemzésünkben a napi hőingás változását havi bontásban vizsgáljuk Magyarországra vonatkozóan, a múltbeli adatok és a jövőre vonatkozó klímamodell-szimulációk alapján.
Magyarországon a napi hőingásnak jellegzetes évi menete van. Általánosságban nyáron lépnek fel magasabb (11–13 °C) napi hőingásértékek. Ilyenkor ugyanis hosszabbak a nappalok, vagyis több idő áll rendelkezésre a felmelegedésre. Továbbá jellemzően alacsonyabb a felhőborítottság és a derült égbolt kedvez a maximum- és minimum hőmérséklet különbségének növeléséhez. Ugyanis a nappal jelentkező maximum nagyon felszökhet felhők hiányában, melyek a napsugárzás útjába kerülve annak egy részét visszaverhetnék. Az éjszakai/hajnali minimum ugyanakkor jelentősen kisebb lesz, mivel a derült viszonyok a földfelszínről induló hőkisugárzás nagyobb hányadát engedik távozni a világűr felé.
Növekedés az elmúlt fél évszázadban
Ahogy az 1. ábrán is látszik, az 1971–2024-es időszakban a napi hőingás augusztusban volt a legnagyobb (12,9 °C), de a július is csak néhány tizedfokkal maradt el ettől, az országos területi átlagokat tekintve. A téli hónapokban kisebb a napi hőingás: novembertől februárig általában 8 °C alatt marad az átlag. A legalacsonyabb érték decemberben jelentkezik (kb. 6 °C), amikor a nappalok rövidek, és az év során ekkor a legnagyobb a borultság. Hazánkban az eddigi legmagasabb napi hőingást (31,1 °C) Szécsényben mérték, 2022. március 24-én (ekkor a maximum hőmérséklet 23,6 °C, a minimum hőmérséklet pedig -7,5 °C volt).
Regionális különbségek és nyári kiemelkedés
Megvizsgáltuk a napi hőingás múltbeli változását is, az 1971–1990 és a 2005–2024 időszakokat összehasonlítva. Általánosságban növekedés lépett fel, egyedül decemberben fordult elő csökkenés az ország nagyobb részén, de ez is csupán 0,5 °C körüli volt.
A 2. ábrán szereplő térképeken csak azokra a hónapokra mutatjuk be az eredményeket, amelyekben eleve magasabb napi hőingás-értékek jellemzők. A legjelentősebb emelkedés áprilisban lépett fel. Ekkor az ország középső, valamint északnyugati területein a napi hőingás változása meghaladta az 1,5 °C-ot, és az országos, területi átlag is majdnem ugyanekkora, 1,4 °C volt. A nyári hónapokban 1 °C körüli emelkedés volt tapasztalható a területi átlagokat tekintve, de regionálisan adódtak különbségek. Júniusban az ország délnyugati és északkeleti részein voltak valamelyest alacsonyabb értékek, júliusban az Alföldön és a középső, északi területeken volt jelentősebb a növekedés az ország más részeihez viszonyítva, míg augusztusban nyugatról kelet felé haladva általános növekedést figyelhetünk meg. Mindezek alapján a nyári időszakban összességében Délkelet-Magyarország mutatja a legnagyobb napi hőingás-növekedést.
A maximum- és a minimum hőmérsékletek alakulása
A napi hőingás változása – definíciójából adódóan – a maximum-, illetve minimum hőmérséklet változásával áll összefüggésben. Amennyiben a maximum hőmérséklet nagyobb mértékben emelkedik, mint a minimum hőmérséklet, úgy a napi hőingás is növekszik, míg ha a minimum hőmérséklet emelkedése a jelentősebb, a napi hőingás csökken. A múltban megfigyelt napi hőingás-változás okának megismeréséhez, a minimum- és maximum hőmérsékletek alakulását is megvizsgáltuk, havi bontásban.
Áprilisban a maximum hőmérséklet nagyobb mértékű emelkedéséből (a minimum hőmérséklet változásához képest) adódik a napi hőingás növekedése: míg az 1971–1990-es időszakban ritkábban fordultak elő 21 °C feletti értékek, addig az elmúlt 20 évben ezek gyakorisága szinte a duplájára emelkedett. Júniusban is látványosan megnövekedett mindkét hőmérsékleti érték: a korábban alig előforduló 30 °C feletti maximumok és 17 °C feletti minimumok gyakrabban léptek fel a 2005–2024-es időszakban.
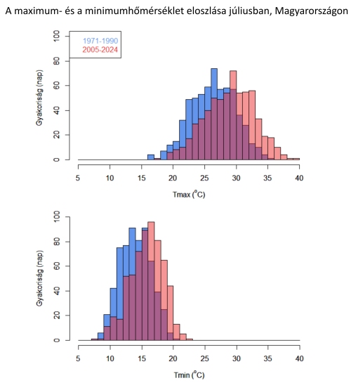
A 3. ábrán a július hónapra vonatkozó értékek eloszlása látható. Az 1971–1990-es időszakban a maximum hőmérséklet a legtöbbször 26–27 °C körül alakult, míg 2004–2025-ben már 29–30 °C közé esett a leggyakoribb érték, továbbá a 36 °C fölötti értékek is megjelentek, amelyek korábban egyáltalán nem voltak jellemzők. A minimum hőmérsékletet tekintve is látható, hogy a leggyakrabban előforduló érték megnövekedett (13–14 °C-ról 16–17 °C-ra), és megjelentek a 22 °C feletti kategóriák is. Augusztusban is hasonló a helyzet: a magasabb minimum- és maximum hőmérsékleti értékek egyaránt gyakoribbá váltak.
Mit mutatnak a klímamodellek a jövőre vonatkozóan?
A jövőre vonatkozó, általunk vizsgált klímamodell-szimulációk átlaga szerint szcenáriótól függetlenül a napi hőingás alig (< 0,5 °C) fog változni hazánkban az elkövetkezendő évtizedekben. Ennek oka, hogy a maximum- és a minimum hőmérséklet várható emelkedése nagyon hasonlóan alakul, azaz a két érték közötti különbség nem változik számottevően.
A 2081–2100-as időszakra vonatkozó klímamodell-szimulációk eredményei szerint – a 2005–2024-es időszakhoz képest – a maximum- és minimum hőmérsékletek változása Magyarországon közel azonos ütemű lesz.
Az elemzések hat regionális modell átlaga alapján készültek, három különböző forgatókönyv szerint: az azonnali kibocsátás-csökkentéssel (RCP2.6) és a mérsékeltebb, későbbi kibocsátás-csökkentéssel (RCP4.5) számoló, valamint a kibocsátás-csökkentés nélküli (RCP8.5) változattal. Az adatok alapján a hőmérséklet-emelkedés mértéke térben kissé eltérhet, de az ország egészét tekintve a maximum- és minimum hőmérsékletek növekedése nagyjából egyensúlyban marad. Az eredmények szerint a decembertől márciusig terjedő időszakban valószínűsíthető nagyobb eltérés hazánk egyes területei között, míg a leginkább homogén területi eloszlás júliusban várható.
A szcenáriókat összehasonlítva egyértelmű, hogy a kibocsátás-csökkentés nélküli esetben egyértelműen nagyobb mértékű változások valószínűsíthetők, mint ahogy a globális felmelegedés mértéke is nagyobb lesz ennek megvalósulása esetén. Novembertől márciusig a maximum hőmérséklet emelkedése jelentősebb, míg az átmeneti évszakok nagy részében és júniusban a minimum hőmérséklet növekedése nagyobb a projekciók alapján. Júliusban és augusztusban szcenáriófüggő a változás: az évszázad közepétől induló kibocsátás-csökkentéssel számoló esetben (RCP4.5) a minimum hőmérsékletek emelkedése jelentősebb, míg a kibocsátás-csökkentés nélküli jövő esetén (RCP8.5) a maximum hőmérsékletek növekedése lesz nagyobb mértékű a szimulációk szerint.

Végül a 4. ábra térképsorozatán a maximum hőmérséklet júliusban várható változása látható három különböző forgatókönyv alapján, a 2041–2060-as és a 2081–2100-as időszakokra vonatkozóan, a 2005–2024-esidőszakhoz viszonyítva. Az ábrán jól látszik, hogy a közelebbi jövőbeli periódusban még kisebb a szerepe az alkalmazott szcenáriónak: mindhárom esetben 0,75–1 °C körüli változások valószínűsíthetők, az ország nagy részén a regionális klímamodell-szimulációk átlaga alapján. Ugyanakkor megjegyezzük, hogy a kibocsátáscsökkentést mellőző forgatókönyv esetén az ország keleti részén már a század közepére is meghaladhatja az 1 °C-ot a maximum hőmérséklet növekedése.
A 21. század végére vonatkozó projekciók között már jelentős különbségek láthatók az egyes jövőképek között. Ha azonnali kibocsátáscsökkentésbe kezdenénk, a maximum hőmérsékleti értékek gyakorlatilag nem változnának. A későbbi kibocsátáscsökkentést feltételező forgatókönyv esetén 1,25 °C-ot meghaladó emelkedés várható az ország nagy részén. A kibocsátás-csökkentés nélküli szcenárióval számoló klímamodell-szimulációk szerint pedig kb. 4 °C-kal magasabb átlagos maximum hőmérsékleti értékekre számíthatunk 2081–2100-ban. A minimum hőmérséklet esetén is hasonló változásokat mutatnak a szimulációk.
Egészségügyi következmények: trópusi éjszakák
Összességében elmondhatjuk, hogy a napi hőingás a 21. század során várhatóan nem változik majd jelentősen hazánkban, ami a maximum- és minimum hőmérséklet hasonló mértékű növekedéséből adódik. Ugyanakkor különösen a nyári időszakban egészségügyi szempontból megterhelő lehet ez a változás: a minimum hőmérsékletek emelkedésével gyakoribbá válhatnak az ún. trópusi (vagy meleg) éjszakák (amikor is nem esik 20 °C alá a hőmérséklet), így az emberi szervezet számára fontos pihenési időszak is csökken. Az 1991–2020-as időszakban jellemzően 4 trópusi éjszaka fordult elő a HungaroMet adatai alapján az országos átlagot tekintve, míg az eddigi legmelegebb évünkben, 2024-ben, ennek több mint négyszeresét, 18 ilyen napot detektálhattunk a nyár folyamán. Ahhoz, hogy ez ne váljon szélsőséges esetből szokásossá a jövőben, elengedhetetlen, hogy ne várjunk tovább az üvegházhatású gázok antropogén kibocsátásnak drasztikus csökkentésével.
Köszönet illeti a regionális modellszimulációkért az EURO-CORDEX konzorcium modellező intézeteinek tagjait; a hazai megfigyelésekért pedig a HungaroMet Zrt.-t.
SZERZŐK: KIS ANNA, METEOROLÓGUS, A FÖLDTUDOMÁNYOK DOKTORA, AZ ELTE METEOROLÓGIAI TANSZÉKÉNEK TUDOMÁNYOS MUNKATÁRSA; PONGRÁCZ RITA, METEOROLÓGUS, HIDROLÓGUS, A FÖLDTUDOMÁNYOK DOKTORA, AZ ELTE METEOROLÓGIAI TANSZÉKÉNEK ADJUNKTUSA
FORRÁS: MASFELFOK.HU
MezőHír Tudástár: Napi hőingás – A napi hőingás a nappali maximum és az éjszakai minimum közötti különbség, amely Magyarországon az elmúlt ötven évben főként a melegebb nappalok miatt nőtt, ám a klímamodellek szerint a jövőben már alig változik, mert a két szélsőérték hasonló ütemben emelkedik; ennek következménye a gyakoribb trópusi éjszaka, ami komoly élettani terhelést okoz.







